Calculo Diferencial
Derivaciones
Formulas de Derivación
I dc = 0
La derivada de una constante es cero
II dx = 1
La derivada de una variable con respecto a si misma es la unidad.
III d ( u + v - w ) = du + dv - dw
La derivada de la suma algebraica de un numero finito n de funciones es igual a la suma algebraica de lasderivadas de las funciones
IV d ( cv ) =c. dv
La derivada del producto de una constante por una funcion es igual al producto de la constante por la derivada de la funcion
V d (uv) = u dv + v duLa derivada de un producto de dos funciones es igual al producto de la primera funcion por la derivada de la segunda, mas el producto de la segunda por la derivada de la primera.
VI d (un) = nun-1 duLa derivada de la potencia de una funcion de exponente constante es igual al producto del exponente por la funcion elevada a un exponente disminuido en una unidad y por la derivada de la funcion.
VIa d (xn ) = nxn - 1
Cuando v = x se convierte en la expresion anterior
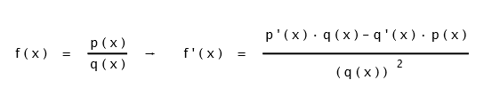
VII d ( uv ) = v.du - u.dv.
v2 La derivada de un cociente de funciones es igual al producto del denominador por la derivada del numerador, menos el producto del numerador por la derivada del denominador, todo dividido por el cuadrado del denominador
VIIa d ( u/c ) = du/ c
La derivada del cociente de una funcion dividida por una constante es igual a la derivada de la funcion dividida por la constante
Informacion extraida de:
Calculadora de derivadas
Como Resolver Derivaciones
Aquí Algunas Guías
Derivadas: Se llama función numérica o función real a toda aplicación de un conjunto E en R


Para la determinación de una función se necesitan conocer tres condiciones:
- El conjunto inicial
- El conjunto final
- Establecer una regla que nos permita asociar a cada elemento del conjunto inicial un único elemento del conjunto final
Notaciones:
- El conjunto inicial recibe el nombre de dominio de definición o campo de existencia de la función.
- A cada elemento del conjunto inicial se le llama variable independiente.
- Al número y asociado por la función f(x) se le llama variable dependiente.
- Se llama recorrido de una función al conjunto de las imágenes de la variable independiente
Ecuación de la recta Tangente:

La pendiente de la recta tangente a una curva en un punto es igual a la derivada de la función a ese punto
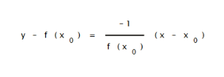
Ecuación de la recta Normal:
La recta normal a una curva y =f(x) en un punto x0 es aquella que pasa por el punto y cuya pendiente es igual a la inversa de la opuesta de f'(a).

DERIVADA DE UNA FUNCIÓN EN UN PUNTO
La derivada de una función es una medida de la rapidez con la que cambia el valor de dicha función según cambie el valor de su variable independiente. La derivada de una función es un concepto local, es decir, se calcula como el límite de la rapidez de cambio media de la función en un cierto intervalo, cuando el intervalo considerado para la variable independiente se toma cada vez más pequeño.

La función derivada de f es la que a cada elemento x le hace corresponder la derivada de la función f en dicho punto. Esta función se designa por f'(x).
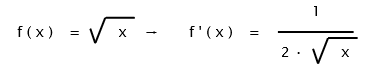
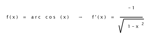
Aplicando la fórmula de la derivada podemos calcular la derivada de cualquier función. Por comodidad utilizamos la siguiente tabla resumen de las derivadas de las funciones más usuales, que nos permite hacer lo mismo sin necesidad de recurrir a la definición en cada caso.
DERIVADAS DE LAS FUNCIONES ELEMENTALES:




















FUNCIONES RACIONALES











MÉTODO DE LA DERIVACIÓN LOGARÍTMICA
Es muy útil en el caso de productos cocientes o potencias de funciones

Pasos a realizar:
1º Se ponen logaritmos neperianos en la expresión

2º Se deriva la función

3º Se despeja y'

Información extraída de:

